新工廠規劃中的壓縮空氣系統設計與節能
日期:2018-08-06 / 人氣: / 來源:www.sm-zhedong.com / 熱門標簽: 節能設計 新工廠規劃
歡迎您訪問博革咨詢官網!博革咨詢是中國首家整合精益生產/六西格瑪/流程再造的咨詢公司,專注于提供 精益生產、6S現場管理、TPM設備管理、精益工廠布局、專業目視化、精益供應鏈、精益研發、六西格瑪管理、智能制造等綜合性問題解決方案并負責落地實施。
全國咨詢熱線:021-62373515、157-2153-3189
我們承諾:見效快、易復制,目標必對賭!
博革咨詢按:在新工廠布局規劃中,水電氣和含廠房的處理等輔助設施的合理規劃,對工廠的節能有非常重要的作用。對工廠后期運營和企業的利潤有非常大的影響。我們將分幾期對我們在新工廠規劃中,對廠房的處理、水電氣的合理設計對工廠的節能的作用及如何工廠輔助設施設計合理的設備選型給正在進行新工廠規劃的企業一些建議,希望對大家有幫助。
新工廠規劃中,壓縮空氣系統設計與節能
壓縮空氣設備是制造型企業廣泛應用的一種重要動力設施,如何做到最經濟地設計,既是貫徹節能減排政策的體現,同時也是為企業降本增效的一項舉措,優化壓縮空氣供給工藝是動力設計中的一項重要工作。
1 空氣壓縮機的選型
目前,我們選用的空氣壓縮機主要有三種機型:活塞式、螺桿式、離心式。總體來說三種空氣壓縮機(以下簡稱空壓機)各自擁有自己的優缺點,設計工作中的設備選型不可一概而定,應根據具體應用需求選取適用機型。下面我們從性能、操作性、使用成本等對其進行分析比較:
|
主要特點 |
活塞式 |
螺桿式 |
離心式 |
|
排氣形式 |
脈沖 |
連續 |
連續 |
|
排氣量 |
小 |
較大 |
大 |
|
流量調節范圍/% |
0~100 |
40~100 |
70~100 |
|
結構形式 |
大 |
小 |
小 |
|
基礎要求 |
堅固 |
輕微 |
輕型 |
|
噪聲/dB |
≤90(A) |
≤85 |
≤85(A)(全罩) |
|
效率 |
高 |
較高 |
低 |
|
造價 |
低 |
高 |
高 |
|
維修量 |
大 |
小 |
小 |
|
自控水平 |
低 |
高 |
高 |
通過上表我們可以看出:活塞式空壓機具有價格低、效率高、結構堅固的優點,但是同樣具有活塞脈沖排氣、維修量大、壓縮空氣易含油水、自控水平低等缺點,一般應用在環境惡劣、壓縮空氣質量要求低的場所,如礦山開采環境;螺桿式空壓機連續排氣,雖然流量調節受到一定的限制,但是效率高,同時因未采用燃油驅動,壓縮空氣的質量較高,雖然價格較為昂貴,但維修較少,后期使用成本低,廣泛應用在食品、醫藥、軍工、機械、紡織等行業;離心式空壓機各方面優勢也很明顯,但是因流量調節范圍較小、效率較低等原因應用范圍較小,如商店開業、婚慶等用的充氣壓縮機就是此類,但在大排氣量使用場合中,通過制造技術的持續改進,其效率已有大幅提高,綜合性價比具有明顯優勢。
1.1不同空壓機的使用成本對比
下面我們主要對相同功率的活塞式、螺桿式兩種空壓機的使用成本進行對比。 通過下表我們可以看出:相同功率的螺桿、活塞式空壓機在電能消耗上,螺桿式明顯比活塞式耗電;但是由于螺桿空壓機故障少、維修費用低,加之排氣效率約為活塞式空壓機的1.5倍,而年總消耗折合費用僅為活塞空壓機的1.08 倍,所以螺桿式空壓機的綜合使用成本更低。
|
類別 |
22 kW 螺桿式空壓機 |
22 kW 活塞式空壓機 |
|
產氣指標 |
低壓 0.65 MPa, 高壓 0.80 MPa |
低壓 0.6 MPa,高壓 0.75 MPa |
|
排氣量 |
3.5(m3·min-1) |
2.3(m3·min-1) |
|
月平均用電量/度 |
8000 |
6600 |
|
月平均用油量 |
3.5kg(液壓油) |
25.0kg (機油) |
|
年平均維修費用/元 |
1500 |
5000 |
|
年總計消耗折合/元 |
70000 |
65000 |
1.2空壓機選擇方案
通過以上分析,無論是從性能還是從綜合使用成本來說,螺桿式空壓機都是比較合理的選擇。有了這個對空壓機的定性確定之后,接下來很重要的工作便是對方案中空壓機的數量進行確定,也就是我們的定量分析,以設計出最優化的設計方案。
本著最大化進行生產的要求,為實現空壓機的不間斷供氣,我們在進行方案設計時,必須充分考慮空壓機故障停機、維護保養等相關因素,所以通常在空壓機數量的確定上按高于額定排氣量 1~2 臺進行配置空壓機,以實現空壓機之間的交替供氣或維修替代。
2 其他設備的選擇
2.1 儲氣罐的選擇
儲氣罐的總容量,如為工藝用途,應取所有空壓機每分鐘排氣總量的30 % 進行配置;如為儀表氣用途,應按如下公式計算得出:
V=QS×t×P0/(P1-P2)
式中:V:儲氣罐總容量;QS:供氣設計總容量,NM3/min;
t:5~20min保持時間;
P0:大氣壓,絕壓;
P1:正常操作壓力,絕壓;
P2:最低送出壓力,絕壓。
儲氣罐數量的配置沒有嚴格的規定,應按照實際供氣需要進行配置相應數量的儲氣罐。一般來說,為保證供氣壓力的穩定,方便維護使用,我們在儲氣罐的配置上堅持一個原則:在保證儲氣罐容量的同時,配置數量以盡量少為好,單個儲氣罐容量以盡量大為好。
2.2 冷干機的選擇
冷干機是壓縮空氣除油、除水的關鍵設備。在選擇冷干機時,應先確定冷干機的露點溫度,一般為 2 ℃、-40℃、-70℃,依設計項目所在地氣候條件而定,在此基礎上選擇冷干機的處理氣量,計算公式如下:
Q e= Q b× C jp× C jt× C it× C ht
式中: Q e :冷干機額定壓縮空氣處理流量;
Q b :所需處理的空氣流量,即空壓機排氣量;
C jp :進氣壓力修正系數;
C jt:進氣溫度修正系數;
C it :露點溫度修正系數;
C ht:環境溫度修正系數。
2.3 其他設備的選擇
除要選擇以上的設備外,我們還要選擇前置過濾器、后置過濾器。為了確保過濾器的處理能力,選擇的過濾器處理氣量約為空壓機的 150 %左右,處理精度應按照終端需求的氣體質量為標準, 對氣源質量要求高的需多配置幾道過濾器。此外應按照不同部分的需氣量配置合適口徑的管道。
3 總體方案設計
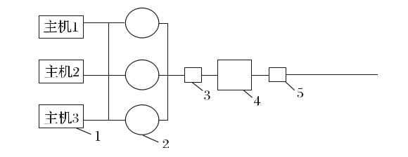
在三臺或以上空壓機組成的小型供氣站設計上,按照不同的生產用氣需要,我們一般可以采用兩種方案對其進行管網連接:一種是對儲氣罐的串聯供氣,一種是對儲氣罐的并聯供氣。
3.1 儲氣罐的串聯供氣方案
見圖1,實際上就是把所有的小型儲氣罐串聯組合后,相當于一個大型的儲氣罐的作用,這樣的連接方式主要應用在集中供氣改造上,這樣可以不用再購置大型儲氣罐。但要注意采用這樣的連接方式必須滿足一個前提:各部分對壓縮空氣的壓力及質量要求沒有很大的差別。
1—空壓機;2—儲氣罐;3—前置過濾器;4—冷干機;5—后置過濾器

圖 1 儲氣罐的串聯供氣方案圖
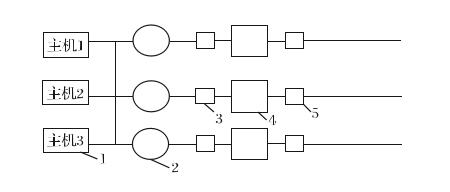
3.2 儲氣罐的并聯供氣方案
并聯供氣與串聯供氣唯一的不同就是在儲氣罐的連接上,各個儲氣罐不相互連通。一般來說, 這種連接方式大多用在那些對壓縮空氣的質量有著明顯不同要求的場合。
1—空壓機;2—儲氣罐;3—前置過濾器;4—冷干機;5—后置過濾器

圖 2 儲氣罐的并聯供氣方案圖
4 其他節能設計注意要點
(1)空壓機與儲氣罐的連接上,儲氣罐應盡量靠近空壓機的地方布置。這主要是因為:儲氣罐越靠近空壓機,在同樣的條件下,壓縮氣體達到上限壓力時,空壓機的加載時間越短,耗電越少。
(2)供氣壓力的工藝設置上,在滿足基本的供氣壓力前提下,應將低壓、高壓設置在最低范圍內,盡量節省能耗。但是一定要注意,低高壓之差需大于 0.15 MPa,避免空壓機的頻繁啟動,損傷設備。
(3)空壓機放置上,應首先放在通風良好的環境中。此外,我們建議在空壓機的降溫上,可以實現水冷降溫的堅決不用風冷降溫。
5 結語
壓縮空氣系統因其使用的廣泛性和普遍性,在設計工作中優化工藝,進行節能設計具有重大的實踐意義,應跟進研究先進技術,深挖技術潛能,從源頭上貫徹落實節能降耗工作。
作者:博革咨詢
咨詢采購表
精益生產怎么做?六西格瑪咨詢怎么做?項目周期是多少?大概需要多少費用?
我是什么企業?目前需要解決的問題是什么?預算周期是多少?想要達到什么效果?
歡迎您瀏覽博革咨詢官方網站!我們專注于精益生產咨詢、六西格瑪咨詢、精益供應鏈咨詢、5S6S現場管理、TPM設備管理咨詢、工廠布局規劃、目視化看板設計等領域的落地咨詢;若對本頁面內容不感興趣或想了解更多與您企業、行業相關的資訊,可通過以下方式尋找解決方法:
(1)工作時間可撥打我們的全國咨詢熱線:15721533189,021-62373515 進行咨詢;
(2)在網站欄目右側“搜索框” 輸入您感興趣的關鍵詞,搜索相關內容;
(3)點擊左側“在線咨詢”按鈕, 您可以和我們的專家老師在線咨詢;
(4)非工作時間請點擊網站下方的“留言” 按鈕,留下您的聯系方式和需要咨詢的內容,我們將安排專業顧問給您解答;
(5)
入群方式:掃描左圖二維碼,添加小博微信好友,通過認證后,加入精益生產VIP會員微信群。
熱銷課程 Hot
相關內容 Related
- 目視化管理之作業管理09-09
- 目視化管理之品質管理09-09
- 工廠標識管理分類大全09-09
- 目視管理之安全管理09-03
- 目視管理之物品管理09-03
- 目視管理之設備管理09-03



